인기절정 아이돌의 약혼녀
34

나를소개하지이름은잡덕녀
2019.05.04조회수 220


승철
출발합니다~~~


세븐틴+여주
예에에에에!!!!!


서명호
형 얼마나걸려?


승철
글쎄 한...1시간30분정도?

04:27 AM

서명호
지금이 4시27분이니까...


서명호
형 암산해봐


원우
너또 암산안돼서 나시키지


서명호
아니거든?


서명호
내가 수학을얼마나 잘하는데



원우
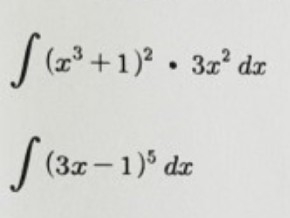
이거풀어봐


서명호
....


서명호
형 나 고2이야


원우
응 알아 이거고등학생 수학이야


서명호
아니야..나이런거 본적없어..


원우
니가 학교를 안나가니까 그렇지


서명호
ㅇ..아니야...


한여주
ㅎㅎㅎ명호 귀여운구석도있네


서명호
ㅇ..아니에요오오!!!!!///


한여주
ㅎㅎㅎㅎ


승철
아가야 오빠야눈??


한여주
오빠야도 귀엽습니다ㅎㅎ


승철
ㅎㅎ

웃으며 여주에게 머리를 내미는승철


한여주
아구이뻐요~~(익숙한듯 머리를쓰다듬는 여주


이지훈
...(힐긋


권순영
커어어어어

다행히 자고있는순영이


이석민
yo!!췌키라웃!!


윤정한
예!예!예!예!


서명호
zzzzzz


원우
뭐라고 말좀해봐요~~되돌릴수는없겠죠~~(젝스키스 연정)


민규
이런날 올줄알았어~~~~


승철
그래도 가슴미어지네요~~


문준휘
zzzzzz


한여주
뭐지 이 난장판은?ㅎㅎ